This website works better with JavaScript.
Home
Issues
Pull Requests
Milestones
AI流水线
Repositories
Datasets
Forum
实训
竞赛
大数据
AI开发
Register
Sign In
wangwei
/
machinelearning_notebook
Not watched
Unwatch
Watch all
Watch but not notify
1
Star
0
Fork
0
Code
Releases
0
Wiki
Activity
Issues
0
Pull Requests
0
Datasets
Model
Cloudbrain
You can not select more than 25 topics
Topics must start with a chinese character,a letter or number, can include dashes ('-') and can be up to 35 characters long.
Tree:
2ce44c76d5
master
savefigrue
Branches
Tags
${ item.name }
Create branch
${ searchTerm }
from '2ce44c76d5'
${ noResults }
machinelearning_notebook
/
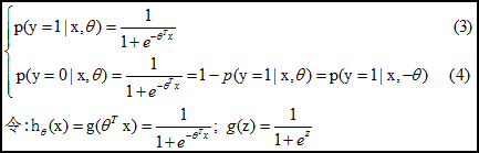
4_logistic_regression
/
images
/
fig3.gif
4.1 kB
Raw
History